Azərbaycanın mebel şirkətinin satışı kəskin artıb, 102 milyon manatdan çox gəlir əldə edib
1996-cı ildə əsası qoyulmuş və mebellərin istehsalı ilə məşğul olan "Embawood" şirkəti 2024-cü ili 2 milyon 281 min manat xalis mənfəət ilə başa vurub. Halbuki, Şirkət 2023-cü ili 434 min manat xalis mənfəət ilə bağlamışdı. Beləliklə, "Embawood" şirkətinin xalis mənfəəti 2024-cü ildə 2023-cü illə müqayisədə 1 milyon 847 min manat və ya 5,2 dəfə artıb.
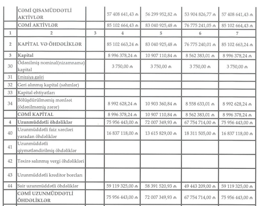
Marja.az xəbər verir ki, "Embawood" şirkətinin satışdan gəlirləri 2023-cü ildə 59 milyon 726 min manat ikən, 2024-cü ildə 102 milyon 430 min manata yüksəlib (42 milyon 704 min manat və ya 71,5% artıb).
Ötən il "Embawood" şirkətinin cəmi əməliyyat gəlirləri 102 milyon 436 min manat cəmi əməliyyat xərcləri 99 milyon 585 min manat, əməliyyat mənəəti 2 milyon 851 min manat təşkil edib. Şirkət 2024-cü ildə 570 min manat mənfəət vergisi ödəyib.
31 dekabr 2024-cü il tarixində "Embawood" şirkəti 83 milyon 41 min manat cəmi aktivlərə malik olub. Şirkət 2023-cü ilin sonunda 85 milyon 102 min manat cəmi aktivlərə malik idi.
Müştərilərin xəbərləri
Birmarket-in böyük lotereyası yekunlaşdı: Sea Breeze-dən mənzil və Avatr 07 Pro avtomobil sahiblərini tapdı
SON XƏBƏRLƏR
- 2 ay sonra
- 2 həftə sonra
- 3 gün sonra
-
- 20 d. əvvəl
-
22 d. əvvəl
Polipropilen və laminatlı kisə istehsalı müəssisəsinin təməlini qoyuldu
-
29 d. əvvəl
Neft Fondu: Qlobal maliyyə bazarlarındakı tendensiyalar bizə müsbət təsir edib
- 38 d. əvvəl
-
46 d. əvvəl
Karton və qutu taralarının istehsalı müəssisəsinin açılışı oldu
- 1 saat əvvəl
-
1 saat əvvəl
Kredit təşkilatına illik 16 faizlə 1 milyon manat borca pul lazımdır - ŞƏRTLƏR
-
1 saat əvvəl
Azərbaycanın mebel şirkətinin satışı kəskin artıb, 102 milyon manatdan çox gəlir əldə edib
- 1 saat əvvəl
Son Xəbərlər
Azərbaycanda Vakansiyalar - Azvak.az
2026-cı ildən sıfır xərclə ticarətə başlayın
Pulunuz gəlir gətirsin – illik 12% artım
“SİMA KYC” ilə hüquqi şəxs hesabını banka getmədən aç!
Karton və qutu taralarının istehsalı müəssisəsinin açılışı oldu
Güzgü vərəqələrin istehsalı zavodunun açılışın olub
Ən çox oxunanlar
Azərbaycanın mebel şirkətinin satışı kəskin artıb, 102 milyon manatdan çox gəlir əldə edib
Azərbaycan neftinin son qiyməti
2 BOKT-ın vəzifəli şəxsi cərimələnib
Azərbaycan fondu üçün "qızıl il" - 37,6 milyard gəlir əldə etdiyini açıqladı: BÖYÜKLÜYÜ 125 MİLYARD MANATI KEÇİB
Qızılın qiyməti 5 min dolların üzərində qalmaqda davam edir
Birmarket-in böyük lotereyası yekunlaşdı: Sea Breeze-dən mənzil və Avatr 07 Pro avtomobil sahiblərini tapdı
Xırdalanda anbarda, Bakıda obyektdə yanğın baş verib - VİDEO











.jpg)









